通过创新独占的技术确保最大单分子层笼罩和全封尾
检察产物
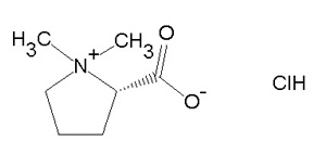
盐酸水苏碱峰对称性良好,理论塔板数到达18746
检察产物
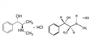
麻黄碱和伪麻黄碱峰对称性良好,理论塔板数均到达10000以上
检察产物
槟榔碱峰对称性良好,理论塔板数到达12282
检察产物
键合相是以高纯度的硅胶为基质,最大限度实现单层官能团笼罩
检察产物
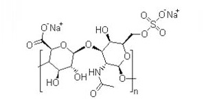
对乳糖和蔗糖的检测,疏散度完全满足药典要求
检察产物
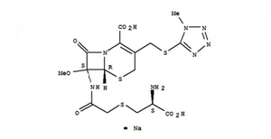
对头孢类药物的聚合物检测,疏散度完全满足药典要求
检察产物
通过严格控制合成反映条件,确保柱之间可靠的重现性
检察产物